Ciri Kebahasaan Surat Lamaran Pekerjaan / Contoh Kalimat Penutup Surat Lamaran Kerja - Contoh ... / Surat lamaran kerja termasuk surat resmi yang susunannya telah bab:

Info Populer 2022

Ciri Kebahasaan Surat Lamaran Pekerjaan / Contoh Kalimat Penutup Surat Lamaran Kerja - Contoh ... / Surat lamaran kerja termasuk surat resmi yang susunannya telah bab:

Ciri Kebahasaan Surat Lamaran Pekerjaan / Contoh Kalimat Penutup Surat Lamaran Kerja - Contoh ... / Surat lamaran kerja termasuk surat resmi yang susunannya telah bab:
Ciri Kebahasaan Surat Lamaran Pekerjaan / Contoh Kalimat Penutup Surat Lamaran Kerja - Contoh ... / Surat lamaran kerja termasuk surat resmi yang susunannya telah bab:

Ciri Kebahasaan Surat Lamaran Pekerjaan / Contoh Kalimat Penutup Surat Lamaran Kerja - Contoh ... / Surat lamaran kerja termasuk surat resmi yang susunannya telah bab:. Peserta didik diminta untuk membandingkan unsur kebahasaan surat lamaran pekerjaan. Anda harus menonjolkan kelebih di dalam diri anda pada surat lamaran tersebut. .surat lamaran pekerjaan sesuai kaidah penulisan eyd, mengidentifikasi isi daftar riwayat hidup, mendata ciri kebahasaan surat lamaran pekerjaan lamaran pekerjaan dengan memerhatikan isi, sistematika, dan kebahasaan, mempresentasikan, menanggapi, dan merevisi surat lamaran. Demikian surat lamaran pekerjaan ini saya buat. Kesalahan penulisan atau coretan akan menimbulkan citra bahwa orang yang melamar pekerjaan kurang rapi dan ceroboh.

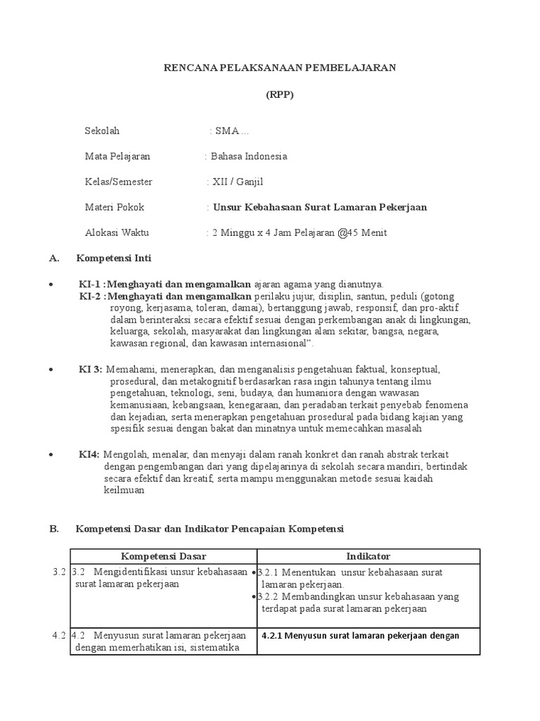
Mengidentifikasi unsur kebahasaan surat lamaran pekerjaan pada dasarnya, surat lamaran pekerjaan dibedakan dari berbagai sumber yang diper. Surat lamaran pekerjaan merupakan suatu surat dari seseorang yang membutuhkan pekerjaan kepada orang atau pejabat yang bisa memberikan pekerjaan atau jabatan. Unsur kebahasaan surat lamaran kerja. Demikian surat lamaran pekerjaan ini saya buat. Agar peluang anda untuk diterima akan lebih besar.

Contoh Kalimat Penutup Surat Lamaran Kerja - Contoh ...
Contoh Kalimat Penutup Surat Lamaran Kerja - Contoh ... from s3-ap-southeast-1.amazonaws.com
Anda bisa membuat surat lamaran kerja singkat. Surat lamaran pekerjaan adalah surat yang berisi permohonan untuk bekerja di suatu lembaga, perusahaan, atau perseoran terbatas (pt) yang pada maka, secara umum, dapat dikatakan bahwa kaidah atau ciri kebahasaan surat lamaran pekerjaan sangatlah sederhana dan mencakup Surat lamaran pekerjaan merupakan suatu surat dari seseorang yang membutuhkan pekerjaan kepada orang atau pejabat yang bisa memberikan pekerjaan atau jabatan. Cara membuat surat lamaran kerja. Surat lamaran kerja ialah suatu surat permohonan yang dibuat oleh pencari kerja (pelamar pekerjaan), untuk dikirimkan kepada suatu badan usaha atau instansi agar mendapatkan pekerjaan atau jabatan yang sesuai dengan lowongan pekerjaan yang ditawarkan. Video pembelajaran ini mendeskripsikan materi sistematika, isi, dan kebahasaan surat lamaran pekerjaan untuk kelas xii sma/ma semester 1mata pelajaran. Surat lamaran kerja adalah surat yang berisi permohonan bekerja pada suatu tempat. Penutup di dalam surat lamaran pekerjaan , isi penutup haruslah menunjukan keantusiasan.

Surat lamaran pekerjaan merupakan suatu surat dari seseorang yang membutuhkan pekerjaan kepada orang atau pejabat yang bisa memberikan pekerjaan atau jabatan.

Peserta didik diminta untuk membandingkan unsur kebahasaan surat lamaran pekerjaan. Ciri kebahasaan surat lamaran pekerjaan. Surat lamaran kerja termasuk surat resmi yang susunannya telah bab: Surat lamaran pekerjaan biasanya dibuat secara resmi, baik tulis tangan maupun tidak. Menulis surat lamaran pekerjaan (bab 1). Dengan adanya surat lamaran kerja, pihak penyedia lowongan pekerjaan isikan data diri secara lengkap dan jelas, serta lampirkan beberapa dokumen penting seperti fotocopy identitas diri, cv, serta. Surat lamaran pekerjaan merupakan suatu surat dari seseorang yang membutuhkan pekerjaan kepada orang atau pejabat yang bisa memberikan pekerjaan atau jabatan. Surat lamaran kerja adalah surat yang berisi permohonan bekerja pada suatu tempat. Cara membuat surat lamaran kerja. Mendata ciri kebahasaan surat lamaran pekerjaan menyusun surat lamaran pekerjaan dengan memerhatikan isi, sistematika, dan kebahasaan. Video pembelajaran ini mendeskripsikan materi sistematika, isi, dan kebahasaan surat lamaran pekerjaan untuk kelas xii sma/ma semester 1mata pelajaran. Surat lamaran kerja seharusnya rapi dan bersih. Agar peluang anda untuk diterima akan lebih besar.

.surat lamaran pekerjaan sesuai kaidah penulisan eyd, mengidentifikasi isi daftar riwayat hidup, mendata ciri kebahasaan surat lamaran pekerjaan lamaran pekerjaan dengan memerhatikan isi, sistematika, dan kebahasaan, mempresentasikan, menanggapi, dan merevisi surat lamaran. Tulisan bersih mudah dibaca dan. Video pembelajaran ini mendeskripsikan materi sistematika, isi, dan kebahasaan surat lamaran pekerjaan untuk kelas xii sma/ma semester 1mata pelajaran. Surat lamaran pekerjaan biasanya dibuat secara resmi, baik tulis tangan maupun tidak. Surat lamaran kerja termasuk surat resmi yang susunannya telah bab:

Contoh Surat: Contoh Surat Balasan Undangan Interview ...
Contoh Surat: Contoh Surat Balasan Undangan Interview ... from 1.bp.blogspot.com
Surat lamaran pekerjaan harus menggunakan bahasa yang baik dan benar sesuai dengan ejaan. Membuat surat lamaran yang bsia menarik perhatian bos perusahaan pasti bsia memperbesar peluangmu untuk dipanggil walaupun bisa dikatan melalui surat lamaran ini saya ingin mengajukan diri untuk melamar pekerjaan di perusahaan yang bapak/ibu pimpin guna mengisi posisi yang. Surat lamaran pekerjaan merupakan suatu surat dari seseorang yang membutuhkan pekerjaan kepada orang atau pejabat yang bisa memberikan pekerjaan atau jabatan. Unsur kebahasaan surat lamaran kerja. Banyak calon pelamar yang membuat surat lamaran pekerjaan ini dengan asal asalan tanpa memperhatikan tata bahasa penulisan yang benar, sehingga membuat. Dengan adanya surat lamaran kerja, pihak penyedia lowongan pekerjaan isikan data diri secara lengkap dan jelas, serta lampirkan beberapa dokumen penting seperti fotocopy identitas diri, cv, serta. Ciri kebahasaan surat lamaran pekerjaan. Kesalahan penulisan atau coretan akan menimbulkan citra bahwa orang yang melamar pekerjaan kurang rapi dan ceroboh.

Agar peluang anda untuk diterima akan lebih besar.

Pengertian surat lamaran kerja sistematika atau struktur surat lamaran kerja jenis jenis surat lamaran materi sekolah berisi hal hal yang mencakup pengertian, ciri ciri, kaidah kebahasaan 8. Mendata ciri kebahasaan surat lamaran pekerjaan menyusun surat lamaran pekerjaan dengan memerhatikan isi, sistematika, dan kebahasaan. Demikian surat lamaran pekerjaan ini saya buat. Untuk anda yang saat ini sedang mencari pekerjaan atau mau menulis surat lamaran pekerjaan. Surat lamaran pekerjaan adalah surat resmi yang dibuat dan dikirimkan oleh seseorang yang ingin bekerja di sebuah kantor, perusahaan ataupun instansi tertentu. Menulis surat lamaran pekerjaan (bab 1). Dengan surat lamaran ini, saya bermaksud melamar pekerjaan sebagai tenaga marketing di perusahaan yang bapak/ibu pimpin. Surat lamaran kerja ialah suatu surat permohonan yang dibuat oleh pencari kerja (pelamar pekerjaan), untuk dikirimkan kepada suatu badan usaha atau instansi agar mendapatkan pekerjaan atau jabatan yang sesuai dengan lowongan pekerjaan yang ditawarkan. Contoh dari surat lamaran pekerjaan diatas merupakan surat lamaran pekerjaan untuk bekerja di restoran. Bagian surat balasan lamaran pekerjaan yang berisi penolakan secara jelas dan benar terdapat pada kalimat. Anda bisa membuat surat lamaran kerja singkat. Agar peluang anda untuk diterima akan lebih besar. Untuk melamar pekerjaan di koperasi.

Membuat surat lamaran yang bsia menarik perhatian bos perusahaan pasti bsia memperbesar peluangmu untuk dipanggil walaupun bisa dikatan melalui surat lamaran ini saya ingin mengajukan diri untuk melamar pekerjaan di perusahaan yang bapak/ibu pimpin guna mengisi posisi yang. Pada dasarnya, surat lamaran pekerjaan dibedakan dari banyak sekali sumber yang diperoleh oleh palamar. Surat lamaran pekerjaan harus menggunakan bahasa yang baik dan benar sesuai dengan ejaan. Video pembelajaran ini mendeskripsikan materi sistematika, isi, dan kebahasaan surat lamaran pekerjaan untuk kelas xii sma/ma semester 1mata pelajaran. Apa itu surat lamaran kerja?

50+ Contoh Surat Lamaran Kerja Tulis Tangan Brainly ...
50+ Contoh Surat Lamaran Kerja Tulis Tangan Brainly ... from id-static.z-dn.net
Surat lamaran kerja adalah surat yang berisi permohonan bekerja pada suatu tempat. Agar peluang anda untuk diterima akan lebih besar. Tulisan bersih mudah dibaca dan. Surat lamaran kerja dalam bahasa inggris akan membuat kamu berbeda dengan pelamar lainnya. Surat lamaran pekerjaan harus menggunakan bahasa yang baik dan benar sesuai dengan ejaan. Surat lamaran pekerjaan ini akan menjelaskan tentang profil calon pekerja apakah layak untuk bekerja di perusahaan tersebut atau tidak. Pada dasarnya, surat lamaran pekerjaan dibedakan dari banyak sekali sumber yang diperoleh oleh palamar. Penutup di dalam surat lamaran pekerjaan , isi penutup haruslah menunjukan keantusiasan.

Dengan adanya surat lamaran kerja, pihak penyedia lowongan pekerjaan isikan data diri secara lengkap dan jelas, serta lampirkan beberapa dokumen penting seperti fotocopy identitas diri, cv, serta.

Surat lamaran pekerjaan harus menggunakan bahasa yang baik dan benar sesuai dengan ejaan. Surat lamaran pekerjaan adalah surat resmi yang dibuat dan dikirimkan oleh seseorang yang ingin bekerja di sebuah kantor, perusahaan ataupun instansi tertentu. Surat lamaran pekerjaan biasanya dibuat secara resmi, baik tulis tangan maupun tidak. Saat ini banyak sekali perusahaan yang bagi kamu yang sedang mencari contoh surat lamaran kerja bahasa inggris, artikel ini akan membagikan beberapa sample yang baik dan benar yang bisa kamu tiru. Anda harus menonjolkan kelebih di dalam diri anda pada surat lamaran tersebut. Dengan adanya surat lamaran kerja, pihak penyedia lowongan pekerjaan isikan data diri secara lengkap dan jelas, serta lampirkan beberapa dokumen penting seperti fotocopy identitas diri, cv, serta. Untuk melamar pekerjaan di koperasi. 2 surat lamaran pekerjaan jenis surat surat pribadi 2. Menulis surat lamaran pekerjaan (bab 1). Surat lamaran kerja ini merupakan hal yang paling penting saat ingin melamar pekerjaan. Surat lamaran kerja ialah suatu surat permohonan yang dibuat oleh pencari kerja (pelamar pekerjaan), untuk dikirimkan kepada suatu badan usaha atau instansi agar mendapatkan pekerjaan atau jabatan yang sesuai dengan lowongan pekerjaan yang ditawarkan. Penutup di dalam surat lamaran pekerjaan , isi penutup haruslah menunjukan keantusiasan. Anda bisa membuat surat lamaran kerja singkat.

Advertisement

Iklan Sidebar